Skip to content
"Cross Stitch Patterns, Crochet, Amigurumi, Knitting"
Menu
Home
Cross stitch alphabet
Cross stitch Disney
Crochet round doily
Crochet flowers
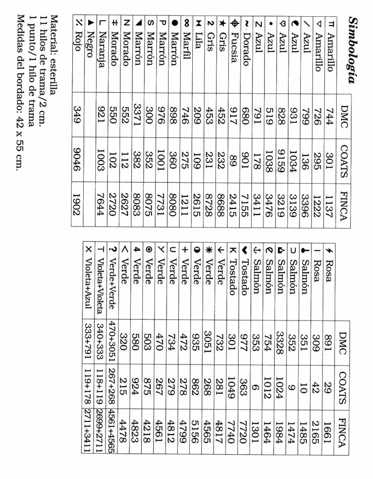
Sampler Cross stitch letters cursive and butterflies (8)
Pattern added on
April 25, 2022
by
Amy
Post navigation
Sampler Cross stitch letters cursive and butterflies (7)
Sampler Cross stitch letters cursive and butterflies (9)